導讀:有很多人想找高中數學論文獲獎范文和題目推薦大全,今天就給大家分享15篇比較好的關于高中數學的論文范文。其中大約2000字-3000字之間,選題方向都是比較非常新穎的,希望對大家有所幫助!

高中數學論文范文 第1篇
數學是一們基礎學科,我們從小就開始接觸到它。現在我們已經步入高中,由于高中數學對知識的難度、深度、廣度要求更高,有一部分同學由于不適應這種變化,數學成績總是不如人意。甚至產生這樣的困惑:“我在初中時數學成績很好,可現在怎么了?”其實,學習是一個不斷接收新知識的過程。正是由于你在進入高中后學習方法或學習態度的影響,才會造成學得累死而成績不好的后果。那么,究竟該如何學好高中數學呢?
一、認清學習的能力狀態。
1、心理素質。我們在高中學習環境下取決于我們是否具有面對挫折、冷靜分析問題的辦法。當我們面對困難時不應產生畏懼感,面對失敗時不應灰心喪氣,而要勇于正視自己,及時作出總結教訓,改變學習方法。
2、學習方式、習慣的反思與認識。
(1)學習的主動性。我們在進入高中以后,不能還像初中時那樣有很強的依賴心理,不訂學習計劃,坐等上課,課前不預習,上課忙于記筆記而忽略了真正的聽課,顧此失彼,被動學習。
(2)學習的條理性。我們在每學習一課內容時,要學會將知識有條理地分為若干類,剖析概念的內涵外延,重點難點要突出。不要忙于記筆記,而對要點沒有聽清楚或聽不全。筆記記了一大摞,問題也有一大堆。如果還不能及時鞏固、總結,而忙于套著題型趕作業,對概念、定理、公式不能理解而死記硬背,則會事倍功半,收效甚微。
(3)忽視基礎。在我身邊,常有些“自我感覺良好”的同學,忽視基礎知識、基本技能和基本方法,不能牢牢地抓住課本,而是偏重于對難題的攻解,好高騖遠,重“量”而輕“質”,陷入題海,往往在考試中不是演算錯誤就是中途“卡殼”。
(4)不良習慣。主要有對答案,卷面書寫不工整,格式不規范,不相信自己的結論,缺乏對問題解決的信心和決心,遇到問題不能獨立思考,養成一種依賴于老師解說的心理,做作業不講究效率,學習效率不高。
二、努力提高自己的學習能力。
1、抓要點提高學習效率。
(1)抓教材處理。正所謂“萬變不離其中”。要知道,教材始終是我們學習的根本依據。教學是活的,思維也是活的,學習能力是隨著知識的積累而同時形成的。我們要通過老師教學,理解所學內容在教材中的地位,并將前后知識聯系起來,把握教材,才能掌握學習的主動性。
(2)抓問題暴露。對于那些典型的問題,必須及時解決,而不能把問題遺留下來,而要對遺留的問題及時、有效的解決。
(3)抓思維訓練。數學的特點是具有高度的抽象性、邏輯性和廣泛的適用性,對能力要求較高。我們在平時的訓練中,要注重一個思維的過程,學習能力是在不斷運用中才能培養出來的。
(4)抓45分鐘課堂效率。我們學習的大部分時間都在學校,如果不能很好地抓住課堂時間,而寄希望于課外去補,則會使學習效率大打折扣。
2、加強平時的訓練強度。因為有些知識只有在解題過程中,才能體會到它的真正含義。因此,在平時要保持一定的訓練度,適量地做一些有典型代表性的題目,弄懂吃透。
總之,高中數學的學習過程是一個“厚積薄發”的過程,我們要在以后的學習生活中加強對應用數學思維和創新思維的方法與能力的培養與訓練,從長遠出發,提高自己的學習能力。希望同學們能從中有所收獲,改進自己的學習方法,提高自己的數學成績!
高中數學論文范文 第2篇
題目:高中數學教學中信息技術應用的有效策略
隨著教育理念的不斷更新,將信息技術運用到教育行業,推動教育信息化建設已經成了一種必然的趨勢.高中數學是一門非常抽象又重要的學科,數學素養的好壞與學生的未來發展息息相關.針對現階段高中數學教學中存在的一些問題,本文從高中數學應用信息技術的必要性入手,探討在高中數學教學中有效應用信息技術提升學生數學素養的策略.
一、高中數學教學中信息技術應用的必要性
1.為師生之間的深入交流提供了可能
在傳統的高中數學教學課堂中,由于學生人數比較多,課程任務比較繁重,教師與學生之間的交流非常少.隨著教育信息化的建設,全面深入地運用現代信息技術,教師通過多媒體技術可以將抽象的數學概念變得具體,為學生設置有趣的教學情境,調動學生學習的積極性.通過計算機軟件,教師與學生有了更多的時間去進行針對性地溝通,學生可以向教師提出自己在學習過程中遇到的問題,教師可以及時為學生解答問題.這樣一來,信息技術為師生之間的深入交流提供了可能.
2.有利于學生克服學習的困難
高中數學與初中數學相比較,難度上了一個臺階.高中數學的集合語言,邏輯運用語言,函數語言,平面解析幾何等,相較于初中學習的數學內容來說,都是非常困難的,學生在學習的過程中會明顯感覺到很吃力.此外,高中數學的內容比初中數學多,尤其是為了迎合時代的需求,現階段很多高中數學教材中會添加一些如計算機算法,向量等內容.這些困難直接阻礙了學生數學素養的提升.利用信息技術,很多數學知識能可視化地展現在學生面前,文字、符號、數據等信息形態之間輕松地轉換,可以讓學生在學習數學的過程中去探索和發現數學的魅力,調動學生學習數學的積極性,這樣一來,學生就會主動地去學習數學知識,從而克服學習數學的困難,提升數學素養.
二、現階段高中數學信息技術應用存在的問題
首先,教師在利用計算機制作教學課件的時候,通常添加了過多的教學內容,導致教學課件的重心發生了偏離,對學生的思維造成了很多干擾.
其次是教師重視對課件的演示,希望通過課件將知識傳遞給學生,但是忽視了知識的揭示過程,忽視了對學生數學思維的培養.在高中數學教學中,最重要的是讓學生養成數學思維方式,信息技術只是一種教學的輔助手段,并不是教師應用了信息技術,數學教學過程就算是完成了,而是教師利用信息技術,為學生揭示數學知識的本質,讓學生在教學過程中學得數學知識,養成良好的數學思維,提升學生的數學素養.
最后是教師在教學過程中重視教學的過程,忽視與學生之間的互動與交流.在高中階段,數學是一門非常重要的學科,學生通常接觸數學教師的時間是最多的,受數學教師的影響也是最多的,教師對學生的引導也非常重要,所以在高中數學信息技術教學中,不能過度強調信息技術的重要性,而忽視了教師對學生的影響.
三、高中數學教學中信息技術應用的有效策略
1.導入課題,引導學生思考
教師在數學教學中可以利用信息技術設置問題情境進行導入,然后在導入之后,引導學生探究發現尋求本質.這樣一方面可以讓學生由表及里地認識到數學概念的本質,另一方面有利于培養學生的數學思維.
比如,在學習指數函數的時候,教師可以利用視頻演示細胞分裂的情況.1個分裂成2個,2個分裂成4個,4個分裂成8個,以此類推.教師在讓學生觀看演示視頻之后,這樣的細胞分裂x次之后,得到的細胞個數y,讓學生去思考y與x之間的函數關系式應該是什么樣子的.然后教師引入指數函數的概念,引導學生去探索指數函數的圖形和性質.教師在幾何坐標中,利用多媒體技術為學生繪制底數分別為-2、2、-5、5的函數圖形,引導學生探求指數函數的變化規律.最后教師可以請同學上臺演示自己想要看到的指數函數圖象.
通過這種導入課題的方式,一方面學生觀看導入視頻,可以引起學生對數學概念的注意;另一方面通過信息技術引導學生探索數學知識的本質,能夠讓學生在潛移默化的過程中養成良好的數學思維.
2.拓展研究,提升學生的數學素養
在教師進行導入課題,引導學生對數學知識與概念進行探索之后,學生對數學知識與概念有了基本的認識.這種認識還不足以讓學生完全內化知識,掌握數學概念.所以教師需要利用信息技術對數學知識進行擴展研究,讓學生在拓展研究中發現自己的問題,然后解決問題,提升學生的數學素養.
比如,教師在利用圖象引導學生學習指數函數后,引入參變數a,引導學生去研究指數函數y=ax的圖形和性質.這時候教師通過巡視可以發現很多學生都存在一個問題,當a是具體數值的時候,學生很容易畫出圖象,但是當數值變成a之后,學生就不能畫出相應的函數圖象.這時候教師應該加強與學生的溝通,及時給予學生引導和啟發.然后教師利用計算機軟件拖動a點改變a的取值范圍,學生可以通過圖形直觀地感受到指數函數y=a^x的函數圖象變化,引導學生歸納總結出發現的函數性質.這時候教師可以引導學生進行小組討論總結出函數的性質,也可以師生通過交流總結出函數的性質.最后教師通過板書或者是計算機為學生展示指數函數的圖形與性質.
通過這種方式,學生往往在教師的引導下會主動地去探索發現數學知識的規律,在觀察中發現規律,在實踐中總結規律.長此以往,能夠極大地提升學生的數學素養.
3.信息技術與新型的教學方式相結合
新課改指出,學生才是學習的主體.教育信息化為學生的學習帶來了更多的可能,所以現階段教師可以利用信息技術與新型的教學方式相結合,一方面發揮學生學習的主觀能動性,另一方面讓學生學會在探索中解決數學的實際問題.此外,教師還應該就數學知識多與學生進行溝通,只有不斷地溝通影響學生,才能極大地提升學生的數學素養.
高中數學論文范文 第3篇
題目:思維導圖在高中數學課堂教學中的應用
一、問題的提出
《普通高中數學課程標準》提出,“高中數學教學要以發展學生數學學科核心素養為導向,更要注重信息技術與數學課程的深度融合.”傳統的教學方式和學習方式都是平面的、線性的,但人的大腦活動方式是復雜的網絡結構,這兩者的不一致,導致了學生過重的課業負擔和過重的心理負擔.思維導圖應用于教學,可以變平面的、線性的教學和學習方式為立體的、放射性的,使之與我們大腦的工作方式一致起來,從而達到減輕課業負擔和心理負擔的作用.
二、構建思維導圖的意義
在高中數學課堂教學中構建思維導圖,有利于教師整合教材內容,可引導教師研讀課標,深挖教材,幫助教師從整體把握教學內容,準確把握教學重點和難點,實現對教材“全景式”的把握.
其次,有利于提高學生的發散思維能力.學生自行設計思維導圖,歸納知識點,加深對數學概念、定理的深度認識及知識間的融合.
再次,有利于優化教學資源.開發章、節和相配套的重難點的思維導圖,起到優化教學資源,對教學具有促進作用.
三、構建數學課堂思維導圖的方法及步驟
根據課程標準,構建數學思維導圖,一是要確定主題;二是確定每個分支關鍵字(詞),關鍵字應該是具體的、有意義的核心知識點,方便學生進行檢索和記憶;三是確定次主題,次主題應該是重要知識點的羅列,盡可能用“關鍵詞”的方式進行梳理;四是層次性,主題、次主題之間要明確分層,符合知識的邏輯順序;五是確定編碼,用不同的線條、顏色、圖形標記,強化分層和分類,還可以運用網址、資料來源與思維導圖聯系起來,提高思維導圖的容量;六是知識點的聯系用箭頭連接,起到知識和思維的引導作用,可以是雙向箭頭、單向箭頭、直線、虛線等;七是關鍵詞都應該寫在線條上,明確主題的指向性,字體、線條應多一些變化,以此從直觀上分層;八是標注分支知識內容,內容要簡明扼要,做到不重復、不遺漏;九是檢查修改,初步完成對思維導圖的修改、完善.
四、思維導圖在高中數學課堂教學中的作用
思維導圖教學從教師和學生兩個方面入手,從教師層面看是圖形導教法,從學生層面看是圖形學習法.
1.圖形導教法
思維導圖本身就是一種圖形,它以關鍵詞和圖畫來模擬大腦的思維過程,使知識“可視化”.它的關鍵是一個“導”字,用圖來引導思維.而教師的教學本身就是一個思維傳授、思維碰撞、思維激發的過程.然而思維又是看不見、摸不著的東西,以往它只能通過語言來表達,現在有了知識導圖,就使知識“可視化”了,這樣就使教學有了一種新的載體.運用這一載體,可以把教師的思維過程直觀地呈現給學生.其作用:一是利用思維導圖,實現從知識點到單元知識間的轉變,二是利用思維導圖揭示學習方法,減輕心理負擔.
2.圖形學習法
學習的主體是學生,課堂教學只有內化為學生的行為,才是有效的.因而我們在實施圖形導教法的同時,也要求學生嘗試改變以往的學習方式,以思維導圖為工具形成自己的圖形學習法.具體來說,就是圖形導記、圖形導學、圖形導練三個層面面.
五、思維導圖課堂教學流程
針對不同課型,可設計不同的思維導圖,課堂教學流程如下:
1.新授課教學流程
展示框圖——勾畫教材——提出疑問——合作探究——教師答疑
具體做法:
(1)構建思維導圖任務單
根據學生的現狀,教師合理構建新課思維導圖,分發給學生,學生以思維導圖為基礎,明確學習目標及學習任務.
(2)自主學習
學生以思維導圖為脈絡,圍繞教學目標、要求用“通過觀看教學視頻(或閱讀教材,或分析相關學習資源)”完成思維導圖相關內容,對于有困難的問題用鉛筆畫出,便于課堂教學中教師指導.
(3)課前檢測
教師對框圖預設的問題進行當堂檢測,通過提問、板演,暴露問題,便于學生在合作探究學習中進一步消化思維導圖提出的問題,將外部知識轉化為內部知識.
(4)合作學習
通過合作探究學習,生生之間對導圖中的問題進行交流探討,教師進行跟蹤指導,對學困生進行點撥,學生對存在的問題進行交流展示,教師對共性的、沒有解決的問題進行記錄,為下一環節做準備.
(5)精講點撥
教師依據重難點知識及學生在學習思維導圖中存在的困惑、學生有爭議的問題進行精講點撥,從而使學生對所學知識理解透、掌握牢.
2.復習課教學流程
提煉主題——構建聯系——手繪導圖——互相交流——補充導圖
具體做法:把復習知識點主題提煉出來,形成中心詞,用同樣的方法把章節的主題提煉出來,形成關鍵詞;構建關鍵詞之間、中心詞與關鍵詞之間的聯系,明確章節目在單元中的地位;學生在此基礎上繪制本單元的思維導圖;學生之間互相交流所繪制的思維導圖,相互取長補短;在此基礎上,學生將自己的導圖補充完整,并加上細節.
3.練習課教學流程
審題——繪圖——關聯——試答——試評——交流
具體做法:用“三定一分解(定時間、定空間、定主題,對主題進行分解)”的審題方法審清題義,提取有效信息,找出關鍵詞;將主題與關鍵詞繪制成思維導圖,揭示其中的內在聯系;將主題、關鍵詞及其內在聯系與教材內容相關聯;用精煉的語言作答;自己給自己評分或者相互評分;交流答題及試評情況,相互完善答案.
從教師層面看,利用思維導圖可以有效把握課程標準及課程目標的指向功能;依據課程目標,將新課程的三維目標系統化、通俗化落實到課堂教學當中,使每一節課都讓學生有實實在在的認知收獲和科學感悟.
從學生層面看,體現學生為主體,教師為主導的學習模式,促進學生養成良好的自學習慣.數學不是教師“教”會的,而是學生“學”會的,思維導圖教會了學生學習的方式和方法,為高中數學課堂教學提供了一種新的思路.
高中數學論文范文 第4篇
題目:數學史與高中數學教材的整合研究
——湘、滬、蘇三地高中新教材數學史整合特點和價值分析
數學是研究數量、變化、結構、空間以及信息等概念的一門學科.數學史是史學和數學科學的交叉學科,它是通過探索數學內容以及思想方法的變化、發展進程,以獲得數學規律的科學.陳省身先生曾說“了解歷史的變化是了解這門科學的一個步驟”,可見數學史對于數學發展的意義重大.《普通高中數學課程標準(2017年版)》指出“數學教材應具備可讀性,深入淺出,易于學生理解,激發學習興趣;應具有探索性.內容呈現方式豐富多樣可以增強教材的可讀性與親和力,更好地引導學生自主學習[1]”.而將數學史合理地融入教材是達成上述要求的一個重要策略.數學史與數學教材的整合是通過呈現數學概念及方法的形成與發展歷程,有助于學生了解數學學科發展的背景,加深對數學學科內容的理解.湘、滬、蘇三地數學新教材是根據《普通高中數學課程標準(2017年版)》編寫的,研究三版教材中數學史的整合特點和價值,有助于加強一線教師對數學史素材運用的重視,幫助一線教師理解編寫意圖,認識其教育價值,進而合理適切地運用于課堂教學中.
一、數學史與三地高中數學教材整合特點
1.內容融合特點
新版數學必修教材的數學史內容的類型相當豐富且全面,具體可以分為:“數學概念史”、“數學家介紹”、“數學術語”、“數學應用史”、“數學思想方法”、“數學歷史名題”、“數學歷史典故”等[2].湖南教育出版社(以下簡稱“湘教版”)與上海教育出版社(以下簡稱”滬教版”)都關注數學概念形成的背景,發展完善的過程,豐富學生對學習內容的認知,體現了教材的科學性.例如湘教版教材中有集合發展史、函數概念的形成與發展、數系擴充簡史等內容,滬教版教材中有對數簡史、三角變換公式簡史、三角學發展簡史等數學概念形成史.江蘇教育出版社(以下簡稱“蘇教版”)注重拓展與數學概念相關的應用史,強調概念與實際生活的聯系,展現了教材的有效性與實用性.例如教材中有指數曲線與鋼琴之間的聯系,祖暅原理與空間圖形體積的計算,三角函數與無線電波等數學應用史.總的來說,三版教材數學史內容各有側重,湘教版與滬教版注重科學性,蘇教版注重應用性,整體上內容豐富,兼顧中西,蘊含多元文化,賦含廣闊的人文背景,與教材內容聯系緊密.
2.呈現方式特點
數學史與新教材的呈現形式以純文本和圖文并茂兩種呈現方式為主.三版教材在這兩種呈現形式上各有特色,湘教版中圖文并茂形式的數學史素材數量最多,蘇教版純文本以及圖文并茂兩種形式的素材數量大致相當.湘教版和蘇教版都注重在知識點的介紹中添加相關數學家的人物頭像.湘教版形式豐富,不僅包含歷史著作圖,還有相關實物圖、問題情境圖等.蘇教版形式嚴謹,利用圖表輔助學生理解以及在概念定理中加上對應的解釋說明圖.滬教版純文本形式的數學史素材占據一定比例,圖文并茂形式的數學史素材主要以相關數學家的人物頭像為主.總體而言,數學史與高中教材的應用緊密聯系了數學知識點,在學生現有的認知基礎上適當拓展,提升學生的數學素養,擴充知識儲備,激發高中生數學學習的興趣.美觀的視覺效果不僅添加了形式美感,而且培養學生欣賞美和創造美的能力.
3.編排形式特點
三版數學新必修教材中數學史的素材廣泛地分布于教材的各個板塊中.例如“頁邊標簽”模塊以及例習題模塊.“頁邊標簽”是以標簽的形式添加對相關數學史素材的描述.湘教版高中數學必修教材數學史內容編排簡潔,編排方式主要以章節后的“數學文化”模塊為主,部分內容穿插在教材的習題以及正文中.蘇教版高中數學必修教材數學史素材分布在章節后的閱讀、問題與探究以及鏈接模塊中,同時以旁注的形式穿插在教材涉及的知識點中.滬教版高中數學必修教材以“課后閱讀”模塊為主,部分內容以章節前的標題導語形式穿插在教材內容中,對數學知識點進行說明解釋,極個別以注釋的形式對數學家進行介紹.滬教版教材注重以引導的方式導入知識,幫助學生更好地接受知識與理解知識.總的來說,這三版的教材在數學史的編排上考慮到了學生認知發展的規律性,知識的可接受性,以及知識產生的邏輯與脈絡.
二、數學史與高中數學教材的整合價值
1.提高學生學習興趣,激發求知欲與創造欲
教育心理學家奧蘇伯爾提出,學習情境中的學習動機由三方面的內驅力組成.首先是認知內驅力,認知內驅力是要求獲得知識、技能、解決問題的需要.認知內驅力指向學習任務本身,學習興趣、求知欲是認知內驅力的主要表現形式.數學學科不是枯燥呆板的科學,數學是不斷發展的具有趣味性的學科.數學歷史不僅包含數學理論發展過程中的質疑、探索、創造,數學理論與現實的融合與創新,更有無數數學家在探究真理中展現的人格魅力,比如勇氣與智慧等.這些作為數學史素材一方面有利于學生從數學本身出發,了解有關數學知識背后的有趣故事,提高學習興趣.另一方面有利于從這些素材中感受數學與數學家的魅力與感召力,產生認知內驅力,增加學習動機.如,在湘教版高中數學教材必修一第一章集合的學習中,介紹德·摩根和康托爾對邏輯與集合的研究,不僅詳細地介紹了集合論的創立、發展、完善,幫助學生加深對本章節學習知識的理解,也體現了兩位數學家德·摩根和康托爾面對數學不屈不饒的研究精神.再如滬教版高中數學教材必修二第九章復數的學習中,由16世紀負數開平方的問題引入“虛數”的故事作為章前導語,既幫助學生了解有關復數產生的背景以及必要性,又吸引學生對復數的概念進一步探究.數學史與高中數學教材的融合增加了內容的可讀性與趣味性,激發學生學習興趣.
2.拓寬學生學習視野,發展認知能力
《普通高中數學課程標準(2017年版)》中指出高中數學課程既要體現數學學科的特征,也要體現學生的認知規律[3].數學史與高中教材的整合通過展現數學知識的形成、發展過程,揭示數學思維過程,溝通了客觀知識與主觀認知的橋梁.一方面加深學生對數學本質理解,對數學的理解從淺層次到深層次;另一方面學生對數學的認識從片面到全面,從直觀到抽象,再從抽象到具體.例如在蘇教版高中數學教材必修一第三章中通過不等號的演變,直觀體現符號新舊的變化,在不等號的變化中闡述不等關系,加深對不等式的本質理解.又如在滬教版中借助向量的概念介紹向量與代數、幾何之間的聯系,有助于學生形成系統的數學體系.數學史與高中數學教材的整合是對同一數學思想在不同時空研究的對比,體會不同背景文化下的數學思想,拓寬學生視野[4].如湘教版中展現各個國家的數學家們對三角學研究的發展與貢獻,蘇教版中對數概念的形成和發展,滬教版中三角變換公式簡史,這些都提供了多元化的數學思想與方法,讓學生領略思維的廣泛性.
3.浸潤學生心靈,樹立良好的情感態度與價值觀
數學史與高中數學教材的整合內容包含了不同文化,不同時空下的數學家們對數學的探索.中國不乏偉大的數學家對數學發展做出了巨大的貢獻,激勵學生承擔文化傳承的責任感,培養愛國主義情感和民族認同感,讓學生要有開放的眼界面對整個人類文化對數學發展做出的偉大貢獻[5].數學概念、定理等知識發展的背后蘊含著數學家們前赴后繼,孜孜不倦的研究歷程,體現面對困難,克服困難,解決問題的信心,滲透著數學家們樂于思考,不斷探索,嚴謹治學的精神以及對數學研究的熱愛.有助于培養學生不畏艱難、勇于探索、嚴謹細致的學習觀,包容、積極的人生觀、價值觀.如蘇教版中數學家歐拉的生平,滬教版中對數發展的曲折歷史,湘教版中古今中外數學家們對幾何學發展提供的貢獻.這些素材讓學生體驗面對問題、解決問題的過程,有助于學生增加面對挫折的勇氣和對數學文化的熱愛.幫助學生培養刻苦鉆研、追求真理的研究態度.
4.促進跨科融合,讓學生體悟數學的基礎性和應用性
數學學科的發展不是孤立的,數學以空前的廣度和深度向其他科技和人類知識領域滲透[6],數學語言作為共同語言聯系了生物、語文、化學等學科.數學史與教材的整合有助于其他學科的學習與進步,同樣,其他學科的進步也促進數學學科的不斷前進,兩者相輔相成.例如湘教版中介紹的統計知識將數學與古今中外文學名著聯系,蘇教版中對天文學與三角函數之間的關系進行了闡述,滬教版中呈現了平均值不等式對物理界的貢獻.數學史展現了數學在其他學科中的應用價值,有助于學生用數學的眼光去看待問題,思考問題,用理性的思維方式解決問題.數學是以實際問題為載體的思維活動的結晶,高中數學史的滲透幫助學生意識到數學是來源于現實生活,并且作用于現實生活[7].有助于學生了解數學問題的背景.如湘教版中介紹了大數據在現代生活中的運用與影響,蘇教版中利用周期函數理解無線電波的原理.數學史與教材的整合向學生展示了數學與社會實際是密不可分的,數學最終運用到人類的生產生活中去,有利于學生用聯系的觀點認識問題,有利于學生重視數學的應用與價值,培養在日常生活中運用數學解決問題的意識.
三、結束語
綜上所述,數學史與三版新高中數學教材的整合內容豐富,類型多樣,在具有美感的基礎上呈現方式各有特色.數學史的分布不僅考慮了學生的認知基礎而且體現了各版教材知識呈現的脈絡.數學史與新高中數學教材的整合增加了教材的吸引力和可讀性,有助于激發學生的學習動機,拓展學生的學習視界;數學史中數學概念的產生和形成背景有助于發展學生對數學的認知,理解數學本質,形成良好的數學觀. 數學史中的人物事跡有助于學生從數學史料中培養百折不饒的精神,積極奮進的人生觀與價值觀.數學史中的跨科融合素材有助于提高學生的科學素養和綜合發展意識.總之,數學史與教材的整合研究有助于挖掘學科教學的育人價值.誠然,對數學史“高評價,低應用”的現象普遍存在[8],如何加強教師對數學史整合意識,提高其對數學史整合價值的認識,以及如何將數學史適切地運用到教學實踐中仍然需要更多的實踐探索與實證研究.
高中數學論文范文 第5篇
題目:高中數學高效課堂的構建
高效課堂教學是每一位教師的永恒追求.什么是高效的課堂教學?高效課堂教學是指通過教師對教材知識結構及其規律的掌握,充分利用各種有效手段,高效率、高效益、高效果地把知識信息傳遞給學生的整體性活動過程.它的基本特征是以人為本,根本目的是以提高學生數學核心素養、發展思維能力、培育理性精神為核心,使學生在掌握數學知識的過程中學會思考,成為善于認識問題、解決問題的人才.如何構建高效的數學課堂,提高學生課堂上的學習效率,對于高中數學教師來說,是一個值得深入探討和努力實踐的課題.
一、目標定向,是構建高效課堂的基礎
明確的教學目標是提高數學課堂教學效率的前提,要達到高效課堂教學,必須明確數學教學的目標.《普通高中數學課程標準(2017年版)》明確指出:“數學核心素養是具有數學基本特征的思維品質、關鍵能力以及情感、態度與價值觀等綜合表現,是在數學學習與應用研究過程中逐漸形成與發展起來的.”因此,進行教學設計時,要緊緊圍繞上述目標,以章建躍博士提出的“三個理解”的理論為依據,對教學內容進行必要的重組,在此基礎上實施創新和生成,才會有高效課堂的呈現.
1.在備深教材的過程中理解數學
要備好課,進行有效的教學設計,必須依據自身的實踐與研究,探討數學課程與教材,準確把握教材編寫者的意圖,理清、吃透具體的教學內容.要以課程、內容的創造性使用為前提,深度開發教材資源,做好內容重組的工作,創造性地運用教材,把知識傳授與其他育人功能有機地結合在一起,努力實現教材功能的最優化.
2.在備透學情的過程中理解學生
新課程的核心理念強調關注每一位學生的發展.這就要求我們的教學要以理解學生為前提,深入了解教學對象——學生差異,從學生的視角設計教學活動.備課時,要認真分析學生知識結構的差異,找準新知識學習的切入點;認真分析學生學習方式的差異,根據學生的興趣、愛好、情緒,設計課堂教學方案,把握學習的鼓動點;認真分析學生學習需要的差異,根據對象確定分層施教,為學生架好學習的橋梁,使基礎較差的學生“受得了,吃得進”,使學有余力的學生“跳一跳,摘得到”.
3.在備活教法的過程中理解教學
課堂教學是學習知識、提高能力的主要陣地.課程改革要求教師以學生及學生的發展為中心,教師要轉換角色,始終扮演學生活動的參與者、欣賞者、互助者和指導者.因此,備課的主要任務之一就是設計教學方法,創設積極有效的教學情境,讓學生主動愉快地參與到活動中去,進行積極的活動體驗、情感提升,達到自主、和諧發展的目的.教學方法一旦觸及學生的情緒和意志領域,觸及學生的精神需要時,就能發揮高度有效的作用.
二、問題驅動,是構建高效課堂的核心
問題驅動中的“問題”指的是將課本中的知識點,以問題的方式呈現出來;“驅動”指的是驅使學生參與到課堂學習活動中來.教師在教學中,應根據教學目標的要求,圍繞教學內容設計階梯式的問題串,引領學生積極主動地去思考、想象、探索,從而解決問題或發現規律,并體驗發現的樂趣和成功的喜悅.通過問題驅動,幫助學生在對問題進行探究活動的過程中建構起自己對知識和方法的認識和理解,促進深度學習,提高教學效果.
案例1“函數的單調性”教學片段
函數的單調性是函數的重要性質.增函數、減函數的定義較為抽象,形式化的定義讓學生難以理解.為了促進學生理解,由觀察函數圖象得出遞增、遞減后,先提出一個初始問題:如何用數學符號語言表示“函數值隨自變量的增大而增大?”接著提出如下的問題串.
問題1如何用數學符號語言表達“自變量的增大?”如何用數學符號語言表達“函數值隨自變量的增大而增大?”
問題2在區間I內,取x1,x2,且x1
問題3如果取兩個點不行,要取多少個才行?無限個點行嗎?
通過探究,學生發現:對區間I上有限個或無限個自變量滿足x1
問題4要取遍區間內所有點才行,能做到嗎?我們用什么術語就能做到?
至此,學生基本上能夠理解用數學符號語言來表述:“函數圖象呈逐漸上升趨勢” “函數值隨著自變量增大而增大”,即對于區間I內的任意兩個自變量的值x1,x2,當x1
問題5能否把“區間”去掉?
數學活動往往是從問題開始的,沒有問題就沒有數學活動.但問題的提出既要考慮學生的認知基礎,又要給學生思考的余地,使學生產生很想弄懂但又無法弄懂,很想說清但又無法說清的心理狀態.在此案例中,學生通過觀察、分析、判斷、質疑、抽象、概括等方法來研究問題,參與建構函數單調性符號化概念的全過程,體驗概念的發生、發展和形成,培養了學生的理性思維和理性精神.這其實就是用科學研究的方法在研究問題,學生學到的不僅是知識,更重要的是學會了科學探究的方法,提升了數學學習的能力.
三、鼓勵探索,是構建高效課堂的關鍵
布魯納指出:“探索,是數學教學的生命線.”探索是知識創新的先導,沒有探索,就沒有數學的發展.知識從哪里來?問題如何解決?依靠的是探索.在探索的過程中,學生作為認知活動的主體,求知欲和學習的積極性可以得到極大限度的激發和調動.因此,在組織教學活動時,教師要鼓勵學生通過自身的內心體驗、思維活動、操作過程,積極主動地參與課堂學習,使學生通過探索知識的過程,激發數學思考的欲望,掌握科學的思維方式,建構起對新知的正確認識和深刻理解.
案例2“曲線的參數方程”教學片段

師:請大家思考一下,運用我們已經學過的知識,怎樣解決這個問題?可以相互討論?
師:為了確定游客的位置,我們首先要做什么?
生:建立坐標系.
師:怎樣建系呢?
生:以O為原點、直線OP0為x軸建系,設經過t秒,這個游客在點P(x,y)處,則

師:很好!我們建立了點P的坐標滿足的關系式.由這個關系式,對不同的時間t,可以得到游客的不同位置.游客的不同位置,能否形成一個軌跡?這個軌跡是什么?
生:圓.
師:這個圓的方程是什么?
生:x2+y2=3 600.
師:上面的關系式能否作為圓的方程?為什么?
生:能,可以利用曲線方程的定義來說明.
師:很好.圓的方程我們以前學過,有標準式,有一般式.這個方程是哪一種形式呢?大家能不能給它一個名字?
生:時間t參與了變化過程,我們把它叫做參數方程.
師:好.我們把表示x,y間的直接關系的方程叫做普通方程.下面我們就來對參數方程的有關問題進行一些研究.
教師通過適時提問,為學生搭設思維跳板,幫助其開拓思路,鼓勵其開展探索活動,并在更高的層次上引領學生繼續思考.教師循著學生的思維軌跡,緊追不舍,不斷地由此及彼,由淺入深,思路越探越清,問題越探越明,知識越探越透.學生不僅從中迸發出創新的火花,體驗成功的快樂,而且調動起發自內心的學習和探究新知的積極性,培養了學生的問題意識,孕育了學生的創新精神,讓我們真切地感受到了學生思維的激流涌動.
四、技術運用,是構建高效課堂的手段
現代信息技術的呈現方式多樣而有趣,在引入新課,突破教學重難點,培養學生的能力,激發學生學習興趣,增加課堂容量等方面提高課堂教學效率,信息技術是首選的教學手段.在教學過程中大家比較熟知并經常使用的信息手段主要是PPT、幾何畫板、Flash動畫的演示等.
隨著信息技術的發展,更多的技術手段進入課堂,助力數學教學,比如“茄子快傳”.在學生課堂訓練環節,傳統的方法是上黑板板演,弊端是學生緊張且不善于使用粉筆,費時費力,而且板演同學的解題方法還不一定有代表性.有了實物展臺,但學生本子拿上拿下,投影儀要反復切換,既不方便且費時,又影響學生繼續做題.茄子快傳能很好地解決這些問題,在學生解題過程中,老師只要用手機拍幾張有代表性的學生解法照片,直接就可以投影講評.
學生的探究式學習更是要借助信息技術手段.比如,我們在探究圓錐曲線中一類定值問題時,采用TI圖形計算器作為實驗工具.TI圖形計算器最大的優勢是“人手一臺”與“手腦并用”,而且操作簡單.學生只要輸入方程即可作出圖形,只要簡單的幾個操作就可以度量出角的大小和直線的斜率,可以快捷計算斜率的乘積,并觀察這些幾何量隨點的運動變化而變化的狀況,這為探究和思考問題鋪平了道路,學生可以專注于問題的思考.有了想法就能立即用技術實現,而不是“看老師探究”,或將大量的時間花在技術實現上.在學生探究問題時,教師通過無線導航系統,實時跟蹤每一位學生的操作.發現學生在探索中出現的問題,及時與學生互動,指導探究的方向,控制上課的進程,使學生的探究不再盲目.
五、有效訓練,是構建高效課堂的保障
課堂訓練是數學教學過程中重要的一環,它具有監控、鞏固、反饋的作用,是教學中不可或缺的關鍵環節.在教學過程中,要實施有效的課堂訓練,教師必須注重對題目的選擇,難度要切合學生實際,使學生做有效題.通過有效訓練,使學生掌握課堂教學內容,在內容領悟、知識掌握、過程規范、運算能力和思維能力上得到有效提高.
有效的數學課堂訓練應注意以下幾個方面.
一是訓練要具有針對性,突出目標和重難點.習題的難度和數量要合適,要具有代表性,富有啟發性,不要搞題海戰術.
二是要重視變式練習,提高學生的應變能力.一題多變和多題一解等變式練習能幫助學生從事物的各種表現形式和不同的情境變化中認識事物的本質屬性,從而對概念、方法的理解更概括、更精確、更深刻.尤其是對課本上的習題加以深入的利用,更能體現課本的價值.
三是要實施分層訓練,調控訓練難度,促進差異發展.只有難度適中、符合學生“最近發展區”的訓練題,才能使學生獲得成功的喜悅和個性的發展.
高中數學課堂教學中教師使用各種方法和策略能激活學生們的數學思維,達到最佳教學效果,從而提高教學效率,構建高效課堂.當然教學策略是多樣的,只要我們在實踐中不斷總結、探索、創新,就會找到更多、更好的教學方法.我們要用激情感召課堂,用智慧統領課堂,用胸懷包容課堂,用生命成就課堂.
高中數學論文范文 第6篇
題目:“互聯網+”時代高中數學智慧課堂設計初探
2020-03-16 16:08鄭長喜
高中數學教與學訂閱 2020年2期 收藏關鍵詞:學情互聯網+函數
鄭長喜
(海南省東方市八所中學,572600)
在“互聯網+”時代,伴隨人工智能與大數據等新科技,面對全球化與知識爆炸的新特點,社會對人才的要求由知識型逐漸向具有強大思維能力的智慧型過渡.教育的目標已經由單一尊崇知識的獲取向尊崇智慧的獲取轉變.獲取智慧是教育與教學的終極目標和歸宿.智慧課堂在培養智慧方面的新理念及課堂的新形態,切合社會發展對人才培養的要旨.本文基于“互聯網+”背景,以智慧生成為導向,對高中數學智慧課堂的設計進行了探討.
一、思考與認識
IBM在2008年11月提出智慧地球概念,美國總統奧巴馬對其給予了充分肯定,隨后,基于智慧地球理念的一系列智慧行業方案相繼產生了.針對教育行業,IBM編制了智慧教育方案,包括智慧校園、智慧學室、智慧宿舍等,以學生為中心,直擊傳統教學系統低下、固化、單一的問題.日本啟動了“未來校園”項目,開發建設了一系列構建智慧課堂環境所需產品,并計劃在2020年前在全國普及“未來校園”項目;新加坡頒布“智慧國2025”計劃,計劃建成世界首個智慧國,智慧教育是重要組成部分;馬來西亞計劃在2020年前全面完成智慧學校建設;美國發布《美國國家教育技術計劃2010版》,強調利用技術變革教學模式,側重高科技平臺搭建的智慧課堂發展方向;歐盟出臺世界最大官方的科技計劃,促進科技帶動學習,提高教育智慧化水平.
關于智慧課堂概念,不同學者的觀點不盡相同.Nenad Gligoric認為,智慧課堂是可以即時感知學生學習狀態,有利于教師把握課堂節奏,可以達成培養學生先進思維能力目標的課堂;祝智庭認為,智慧課堂是指運用信息技術創造智能學習環境,促進學生智慧全面、和諧、可持續發展的課堂;鐘少春認為,智慧課堂是指主動、愉快、高效率、高質量地增強學生智慧的課堂.筆者將智慧課堂作如下定位:
智慧課堂是指教師應用教學智慧將現代信息技術與課堂教學巧妙融合,為學習者創建智能化、情境化、互動性的智慧環境,引導學習者發現、分析并創造性解決問題,最終促進學習者智慧生成的課堂.
二、問題與對策
智慧課堂的智慧化學習環境給高中數學教學帶來了新的動力和新的發展方向.但在教與學的過程中,目前依然存在一些亟待進一步改進的方面:第一,缺乏優質學習環境.高中數學學習依然停留于機械簡單學習任務的解決層面,學習資源單一,欠缺上層設計,缺乏開放性與生成性.此外,在發達的互聯網絡中、在大量學習材料中很難找到適合學生自己的優異作品,給學生的健康學習制造了障礙.第二,高中生的很多數學素養的養成需要歷經一個較長時間的體會、領悟和內化過程,要重視過程性目標.而目前的智慧課堂教學依然存在將學習任務與目標分解為一個個小的“知識點”、“能力點”、“情感點”,然后逐一對號,并不考慮目標實現過程是否具備多樣性、梯度性和可視性,并沒有考慮是通過什么樣的學習過程與活動來實現對應的學習目標.第三,評價方式和傳統課堂相比并未產生較大轉變.教師評價和終結性評價依然處于主導地位.這樣容易導致教師忽視數學學習能力較弱學生的學習境遇,無法及時與之溝通,導致其降低數學學習熱情和學習主動性,進而釀成學生差異愈加嚴重的局面.
高中數學智慧課堂教學同樣需要重視問題解決的對策.第一,教師需要充分借助信息技術,給學生創造廣闊且便捷的數學學習空間,為學生推送出色的數學拓展資料,讓學生能夠彼此分享優秀作品和學習體會,同時注重培養學生的數學閱讀習慣和思維;第二,數學學習要圍繞素質教育,尊重學生差異,激發學生內在動機,保護學生好奇心.要依據學科特點和社會發展,將數學學習和學生生活各方面銜接,使學生懂得學習和怎樣學習,重視學生思想情感生成;第三,智慧課堂應著重于將問題復原為一系列易于完成的學習任務,讓學生借助這一系列學習任務的完成來掌握知識、增強能力并最終獲取智慧.重視對過程的評價,重視評價的多元性.高中數學學習也是一個個性化的過程.教師應運用大數據智能追蹤學生學習路徑,剖析學生學習能力.
三、案例“函數的概念”教學設計
1.課前
課程分析
(1)學習內容分析
函數的概念是數學的重要概念,怎樣讓學生理解函數定義是本堂課的重點.
(2)學生學習需求分析
學生在初中學習過基于運動變化觀點的函數概念,具備基本的分析和理解能力,但本節課要在其基礎上進一步抽象到集合與對應的層面(在歷史上此概念及認識的演變過程較長),學生感受并理解客觀世界中的運動與數量關系、辯證唯物主義觀點有一定難度.
(3)學習工具需求分析
本節課所選用的學習環境是云課堂教學平臺(例如AiSchool軟件).教學前,教師制作微課,通過平臺推送給學生,學生在家中登錄自己的賬號即可觀看微課視頻,進而了解一些知識點,然后通過配套導學練習和云平臺的即時反饋,生成前測的學情分析報告,教師據此在課前摸清楚學情,然后有針對性地調整教學設計進行課堂教學.課后,通過云平臺的課堂學情反饋,師生還可以共同制定針對性補救措施.
(4)學習目標分析
(i)知識技能目標:① 理解用集合與對應語言表達的函數概念;② 掌握函數的三要素;③ 了解區間概念.
(ii)學習策略目標:通過實例感悟函數概念,養成抽象概括的方法和探索現實世界中運動和數量關系的習慣,“數學地”思考問題.
(iii)態度與情感目標:通過自主與合作探究,領悟客觀存在的一切事情和物體都是無間變化、相互依存、相互制約的辯證唯物主義思想.
(iv)思維及智慧目標:① 在問題解決的過程中領悟問題解決的模式;② 可以迅速精準獲取合理資源并正確應用;③ 能夠批判性思考;④ 長于合作學習;⑤ 事后能夠及時反思歸納,將實踐作為檢驗知識的唯一標準.
課堂前測
教師活動:
(1)編寫前置性導學練習.根據課標(2017版)、教材、考試大綱和考試說明,制作有針對性的學案與練習.
(2)要求學生課前觀看微課視頻,并完成前置練習.
(3)指點學生及時總結自己的疑惑.
學生活動:
(1)根據教師提供的微課視頻和自己擁有的學習資料進行前置學習.
(2)完成前置性練習題.
(3)及時總結、記錄自己的疑惑.
課前反饋
教師活動:
教師根據云平臺的學情分析報告,對學生自主預習的成果展開全面診斷.
2.課中(課堂教學過程)
(1)當堂達標,鞏固提高
教師根據云平臺的學情分析報告,引導學生針對性、科學、高效地去學習,既包括對前置性知識點(即第一環節知識)的點評和講解,也包括對鞏固及提高性知識點和典型題目(即第二環節知識)的啟發與探索.
(2)歸納小結,提煉升華
理解函數的定義,掌握函數的三要素,具備“數學地”思考問題的能力,能夠理解區間是數集的又一種表示方法.
3.課后(活動)
教師活動:教師將課堂鞏固提高的練習的學生作答情況借助云平臺進行診斷,形成分析報告,打印之后向學生發放,指導學生針對自己薄弱環節進行補救.
學生活動:仔細閱讀學習診斷報告書,在教師指導下進行補救.
高中數學論文范文 第7篇
題目:一種必要的學習行為──淺談高中數學課堂筆記的做法與利用
數學課堂筆記是學習過程中一種重要的活動.它是學生在學習過程中發現問題、分析問題、解決問題的思維過程和思維結果的重要載體.記筆記的過程是一個積極思考的過程,可調動眼、耳、腦、手一起活動,促進對課堂講授內容的理解.做數學筆記一旦成為習慣,日積月累,就會內化為學生自身具備的自學能力,從而成為學生終身受用的學習法寶.那么,如何做數學筆記并利用好它呢?筆者結合自己的教學實踐提出以下幾點做法.
一、如何做數學筆記呢?
1. 記錄題型
記錄自己認為的那些好題、技巧題和常考但自己常出錯的題.數學解題經驗的積累在數學學習中非常重要,在筆記本上,對每種類型的題目,記下它的解題思路,并附上例題及解答過程.因為題型繁多、不可能也沒必要一一都記,只對那些自認為容易忘掉的內容加以記錄,它是測試前最好的復習資料.
2. 記錄規律總結
課上注意記下老師對問題的分析總結,特別是選擇題,填空題的一些特殊方法和技巧,或輔導資料中的答題技巧、解題策略等.這對于濃縮數學內容,找出重點及各部分之間的聯系,掌握基本概念、公式、定理,尋找規律,融會貫通整個內容都很有作用.熟記一些數學規律和數學小結論,使自己平時的運算技能更熟練,解題速度自然就提高了.例如含有n個元素的有限集合M,子集,真子集,非空子集,非空真子集的個數依次是2n,2n-1,2n-1,2n-2.常記一些順口溜便于利用,例如充分必要條件中記憶某些范圍判斷:“越大越必要,越小越充分”.橢圓離心率的大小與橢圓的扁圓程度判斷:“像0一樣圓,像1一樣扁”.正余弦和差公式記憶:“正余余正正相同,余余正正余相反”等等.
3. 記錄自己歸納整理的內容
數學是所有科目中課時最多的功課之一,因為數學題目千變萬化,永遠做不完.但高中數學題型就幾十種,因此歸納整理各種典型習題的解題規律、相似題型的異同、題海中的精題好題等顯得尤為重要.筆記是自我學習的過程,可以對老師課堂上講解的解題精華、數學試卷的心得體會、考試中的錯誤源反饋信息等,在頁邊空白處用自己的語言記簡短的筆記,自己看懂即可.因為自己的話代表你自己的思想,以后這些話會成為這一頁所述概念的一些有力的提示.也可利用筆記寫一些鼓勵自己的話:“勤勉是好運之母;一個今天勝似兩個明天;知識之于精神,一如健康之于肉體.”…為數學知識增添色彩.
4. 記錄自己的錯題和錯誤反思
建議讓學生做錯題集,把平時容易出現錯誤的知識或推理記載下來.記下自己所犯的錯誤,并用紅筆醒目地加以標注,以警示自己.每隔一段時間,老師要抽出時間和學生一起來“錯題反思”,變反思錯題為弄懂錯題,讓學生能在錯題反思中吃透知識,牢固掌握知識和解題技巧.讓學生明確自己的錯誤是由于什么原因,這是建立錯題集最為關鍵的環節,也是改掉學生不良做題習慣的重要且有效的途徑.在反思中成熟,在反思中提高.
二、如何利用好課堂筆記呢?
1. 及時看筆記
每天抽出一段時間,對著筆記本在腦海中回憶老師在課堂上的講課內容,包括每一個細節,實在想不起來再看課堂筆記,這是一種很有效的學習方法,能夠減緩對知識的遺忘.在每次月考、期中考試、期末考試前都要認真再看筆記,并且把里面的內容前后聯系到一起,形成一個知識框架,這對提高學數學成績很有幫助.
2. 要經常對筆記進行階段性整理和補充,形成具有自我個性的學習資料
做筆記時要留有余地,隔一段時間后,再把它們拿出來推敲一番,往往會溫故知新.隨手寫些解題評注,易錯之處或重要的解題思想,用簡短精煉的詞語作為評注,把閃光的智慧用筆頭記下來,用后面的新觀點、新知識理解前面學過的問題,從而收到事半功倍的效果.
3. 利用錯題筆記自主性復習
及時抽查:如每周從錯題筆記中抽出5-10道來解,自己評價,若準確無誤,可在邊上寫“功夫不負有心人”.沒過關題,打上記號,查看原來記錄的做法巧妙之處何在,記上”吾嘗終日而思矣,不如須臾之所學.”用這些自勉語句來激勵自己.
及時篩選:錯題本上的題目反復看過,確實已經徹底掌握了,可以做個標記,在題號前或者題號上畫“叉”,再看的時候可以略過這些做了標記的題目,避免耽誤時間.一次“篩選”之后,還可以進行二輪、三輪甚至多次的“篩選”,直至這些題目完全掌握.長此以往,就會感到進步明顯,收獲頗豐.
歌德曾經說過,“錯誤同真理的關系,就像睡夢同清醒的關系一樣.一個人從錯誤中醒來,就會以新的力量走向真理”.實踐證明,通過讓學生設立錯題本,可以培養學生思考錯題、分析錯題、研究錯題、善待錯題的態度和習慣,從而確保同一類型的題在以后的考試中不再出錯,考試成績自然就提高了.
總之,課堂筆記應成為自己研究數學的心得,指引學習前進方向的路標.只要教師認識到記筆記的重要性,就應切實從學生實際出發,嚴格要求,指導學生持之以恒地記筆記,堅持下去,學生就能夠養成記筆記的好習慣.
高中數學論文范文 第8篇
題目:小微課 大能量——微課在高中數學不同教學情境下的應用
在信息時代,微課因其“微、精、準、活”等特點,脫穎而出,起到“短平快”的良好教學效果,可謂“小微課,大能量.”本文結合具體案例,闡述微課在高中數學不同教學情境以及教師招聘和教師基本功比賽等活動中的應用.
一、 在課堂教學中的應用
微課作為傳統課堂教學的輔助,在課堂教學的引入、教學重點、難點的突破、課后知識的鞏固、章節單元的能力提升、考前自主復習等教學環節都可發揮不小的作用.
1.課前預習,微課先行
通過微課引入進而留下懸念,引導學生主動學習,主動思考,從被動地接受知識轉變成主動地探究知識,可以養成學生課前預習的好習慣.例如,在學習“兩角和差的余弦公式”時,作為三角函數的第一個公式,在學習該內容時,不應該只是簡單地由老師推導,學生記憶,而應該充分地讓學生自己去推導.對學生而言,推導有一定難度,也需要一定的時間.而在實際教學過程中,由于上課時間及內容的安排,教師很難真正做到讓學生自己去探索公式的推導,大多數情況下是讓學生尋找推導思路,然后再帶著學生一起推導,學生更多是被動接受.因此,若想讓學生真正地自己去探究公式推導,可以在上課之前,設計以下微課:已經知道了30°,45°等特殊角的三角函數值,那么,能否求出cos 15°值呢?其實,這個問題的實質就是探索cos(45°-30°)與30°,45°的三角函數值的關系.那么, cos(α-β)=?通過微課提出問題,讓學生在上課前先自主探究,充分思考,課上同學們才能更好地提出不同的推導方法,出現更多的思維碰撞,老師再進一步完善各種推導方法,提高學習效果.
2.突破難點,微課輔助
對于學習中的一些重點、難點內容,可以借助微課的輔助作用,更好地突破重點、難點,教師還可以將高中數學學習中的重、難點內容進行匯編,整理形成高質量的微課,在翻轉課堂中,可以利用微課對內容進行導學,使學生自主探究,更好地實現先學后教的翻轉.

通過上述兩個具體函數定義域的求解,讓學生更加容易理解定義域的求解本質是求函數中x的范圍.然后引導學生觀察求解過程中,有什么共同特征?函數的表達式是否可以省去?讓同學自己去探索發現f(x),f(x+1),f(2x-1)三個函數中x,x+1,2x-1三個的取值范圍是相同的,因此此題只需給出f(x)的定義域即可,不必需要f(x)的表達式.自然而然地使學生理解抽象函數求定義域的實質.
3.課后拓展,微課鞏固
在高中階段,除了課上45分鐘,學生課后花的時間可能比課上還要多,不能簡單地使用題海戰術,這樣不僅浪費學生時間,效果也不好.對于學生已出現的錯題,要引起重視,如果習題課只是一味地講解,效果也會大打折扣.教學中可以嘗試讓學生自己整理錯題,尤其是一章節內容結束,就讓學生把同類題目以學習小組的形式進行討論整理,最終以一個小組一個微課的形式進行總結,最后教師給每個小組的微課予以點評和指導,并把一些較好的微課整理在習題課上進行播放,以供同學們學習交流.讓學生自己動手制作微課,通過自主整理,有利于學生培養學習能力,從會做題到會說題,學生對知識點的理解更加深刻.讓學生制作微課,教師應做好以下兩點:一是提前做好指導示范工作;二是明確目標要求.例如在高一學習三角函數部分內容時,可要求學生練習下列問題:

題3 函數y=sinωx(ω>0)在(0,1]上至少出現兩次最大值,則ω的最小值是______.
這幾道題本質是一樣的,所以在講評之后效果還是不理想的情況下,把這幾題讓學生小組討論,最后形成“已知y=Asin(ωx+φ)的性質,如何確定ω的范圍”的微課,讓學生自主探究這類題的解題本質.通過小組討論學習,自己講解的方式,促使學生真正理解,效果較好.
二、微課在教師應聘或教師基本功比賽中的應用
微課也常常作為選拔教師或者同行之間切磋的一種方式.在這種情境下的微課,不能簡單認為微課就是一節課的一個片段,它應該具備一節課的整體環節,能夠體現一個教師的基本素質.下面就筆者參加的一次微課比賽的一個微課案例,請同行指正.
微課案例求曲線的方程
1.設疑激趣,創設情境
通過前面的學習我們知道,解析幾何主要研究兩個基本問題:(1)根據已知條件,求出平面曲線的方程(即幾何問題代數化);(2)通過曲線的方程,研究平面曲線的性質(即從代數角度研究幾何圖形).請看如下問題:
一架立在光滑地面上的梯子一端正在抵墻下滑,一只貓呆在梯子的正中間紋絲不動,問:在梯子下滑過程中這只貓的運動軌跡是什么?
設計意圖好的引入是一節課成功的一半.雖然微課時間短,但不能因此就忽略引入.恰恰相反,要在簡短的時間內突出自己的教學水平與基本功,吸引注意力,更應在教學引入上下功夫.如何自然有趣快速地引出主題顯得更為重要.本節微課這樣設計引入,滲透數學來源于生活,通過這樣一個問題,激發學生學習興趣.
2.剝繭抽絲,提煉數學本質
將這個實際問題抽象為如下數學問題:已知一個直角,一條長度為a的線段的兩個端點分別在兩條直角邊上滑動,求線段中點的軌跡.
3.問題引動,導入主題
問題1如何求軌跡?
通過問題1引出軌跡方程,引出軌跡與軌跡方程的區別.
問題2線段運動過程中有哪些變量以及不變量?
通過問題2引導學生關注運動過程中的變量與不變量,用代數方法來處理這些量.
問題3回憶之前橢圓,雙曲線,拋物線的標準方程的推導過程,能否類比這些圓錐曲線的方程推導出貓的運動軌跡?
4.類比探究,導出方程
(1)建系:以OA,OB為坐標軸,建立平面直角坐標系;
(2)設點:設M(x,y);

5.歸納小結,留置懸念
歸納小結求曲線方程的一般步驟(略).同時,留置懸念,設問:若貓呆在距梯子下方的三分之一處時,貓的運動軌跡又是什么?
“小微課,大能量”.微課雖小,但作用不小,情境不同,發揮的功能也不同.微課的正確使用,不僅可以提高課堂教學效率,促進學生自主學習,亦能促進教師專業發展.
高中數學論文范文 第9篇
淺析互動教學在課堂教學中的運用
互動教學是將原來的教師講學生聽的教學方式改為教師和學生共同探究知識,提出質疑、解決質疑的過程.互動教學對學生學習會有很大的幫助,對學生個性的發展也大有裨益.在高中數學教學中,互動教學讓學生在思維能力的培養,方法的創新和綜合素質形成等多方面形成優勢.本文探討高中數學課堂教學中互動教學的應用策略.
一、互動教學的重要性
1.有助于激發學生學習興趣
學生最好的老師是興趣,只有在激發學生興趣的基礎上,才能更很好地保證教學目標的完成.互動教學可以有效培養學生對于數學的學習興趣.學生一旦有了學習興趣,就能將注意力集中到對于數學知識和技能的學習中.互動教學通過了解學生心理特點的基礎上,營造生動和諧的教學氛圍,最大程度地調動學生的聽覺、視覺、觸覺,通過多感官的刺激,讓學生保持強烈的求知欲望.
2.有助于學生的綜合能力提升
數學教學不是照本宣科的講授,是要通過活動過程來提高學生對于數學知識的實踐能力,將知識轉為能力.互動教學可以很好地轉變傳統教學中以教師為主體的教學模式,調動學生的積極性,提高教學的效率,達到提高學生綜合能力的目的.
3.有助于加強學生與實際生活的聯系
互動教學很重要的一個核心就是生活化,通過將課堂教學與學生的實際生活進行有機結合,培養學生運用學到的知識來解決生活中的實際問題.這樣不但提高了學生解決生活實際問題的能力,也讓學生的成就感得到了提升.
二、互動教學的基本原則
在實施高中數學互動教學的過程中,不能盲目地開展,一定要遵循互動教學的基本原則.首先,互動教學要有清晰的目標,教學過程要圍繞著教學目標開展,避免與教材內容發生脫節;其次,互動教學的核心是教師與學生的和諧溝通,在教學中要保證教學的民主性,通過民主、和諧的教學氛圍,更好地打開學生的思維;再次,互動教學要在了解學生實際情況的基礎上展開,對學生的心態、認知特點、年齡特點進行充分的把握,以便更好地實施教學;最后要發揮互動教學中的情感因素,樹立“以學生為主體”的教學理念,通過平等、民主、和諧的課堂氛圍,加強與學生的情感交流,提高教學質量.
三、教師在互動教學過程中的地位和作用
在高中數學互動教學過程中,教師要做好“引導者”的角色,通過規范的教學行為,以親切、友善的教學情感,讓學生與學生、教師與學生進行“零距離”的課堂互動.另外教師還要明確互動教學的主題,通過精心設計學生感興趣的教學主題,激發學生的學習自主性.最后教師還要根據學生的不同特點,給予學生足夠的個性發揮空間,讓學生都能勇敢地表達自己的思想和自由地進行思考.只有學生全程參與互動、討論、思考、實踐、總結等教學環節,才能更好地保證教師在互動教學中的地位和作用.
四、提升數學課堂互動教學有效性的具體措施
1.以學生為主體,實現互動教學
傳統的高中數學教學中,教師在臺上滔滔不絕地講,學生在臺下默默地學,這樣的教學模式不利于學生的成長和對知識的掌握.雖然學生死板地記住了知識點,但是卻無法將知識靈活運用在實踐中.教師在互動教學中,要牢牢樹立“以學生為主體”的教學理念,只有將課堂交還給學生,教師做好引導和幫助,才能更好地實現互動教學.教師應該以一個平等的身份融入到與學生的互動交流中,與學生形成一種朋友和伙伴的關系.
2.營造學習氛圍,促進互動教學
一個和諧、民主的互動教學課堂氛圍,可以極大地促進互動教學的成效性.首先在保證學生主體地位的基礎上,教師可以通過自信、得體的外在儀表,先聲奪人,吸引學生注意力.同時教師可以通過幽默、認真的教學方式來調動學生的學習積極性,通過換位思考,嘗試站在學生的角度來看待問題,實現與學生的共同學習.注重和學生的談心,了解學生在學習過程中遇到的困難和取得的成功.對于學生的成就,教師應該及時積極鼓勵和贊揚,對于學生遇到的困難,教師應該想法設法和學生一起解決問題.通過有針對性的個性化教學,讓每一個學生都對數學產生強烈的自主學習欲望,促進互動教學的達成.
3.合理設計內容,提升互動教學的實效性
由于高中生特殊的身心特點,學生往往有好奇心強、自我約束能力較弱等情況出現.在這種情況下,就要求教師要對高中數學互動教學的教學內容進行科學、合理的設計.在保證教學內容有吸引力的基礎上,確保學生在互動教學中的參與度,避免學生因為外在事物的干擾,導致學習注意力不集中等現象的發生,提升高中數學互動教學的實效性.
4.采用多種模式,落實互動教學
為了提高互動教學的豐富性和多樣化,落實互動教學的實效性,教師還要通過科學、先進、多層次的教學手段和模式,來提高互動教學中學生的參與度.通過對現有的教學方法進行創新,摸索出適合學生學習的有效方式,為學生提供豐富、生動的課堂互動教學體驗,讓學生的學習水平和學習效率得到提高.例如,教師還可以選取教材上的內容,通過分小組的形式將所選問題讓學生進行探索和研究.同時還可以積極開展數學競賽、數學演示、數學猜想等活動,從多方面、多層次來鞏固和提升學生的數學綜合能力,滿足學生的好勝心和成就感,將好勝心和成就感轉化為源源不斷對于數學知識的求知欲望,促進高中數學互動教學的可持續發展.
總之,傳統的高中數學教學模式已經適應不了學生的發展,通過互動教學模式的開展,能夠有效地激發學生的學習興趣,突出學生在學習活動中的主體地位,實現高中數學教學質量實質性的提升.
高中數學論文范文 第10篇
著力單元教學設計 提升學生核心素養
伴隨著新課程改革的不斷推進,素質教育也在不斷深入發展,社會對于高中數學教育提出了更高的要求.課程標準著重強調,在高中數學教學的過程中,要逐漸建立以學生為主導的教學模式,把學生放在教育教學的中心位置,提升高中學生對于數學學習的積極性,推動高中學生數學核心素養的提高.本文對此進行探討.
一、高中數學核心素養概述
人的核心素養是在后天的培養中形成的,它包括為人處世的態度,解決問題的能力,對事物的認知程度等等.在高中階段的數學教學中,應該重點培養學生面對疑難問題的態度,以及分析和解決問題的能力,逐步端正和樹立學生正確的是非觀和人生觀,使學生具備一定的數學科學素養.讓學生在數學學習中獲得愉悅的感受,使學生學習數學的興趣與欲望得到進一步增強,從而提升學生的數學綜合能力,為學生在未來的發展創造良好的條件.
高中階段的數學核心素養包括數學建模的能力、數學邏輯推理的能力、數據分析的能力、對問題的直觀想象的能力以及數學抽象思維的能力等六方面.PISA認為,具備數學核心素養最重要的是要在學習數學之后,使學生具備獨立判斷和獨立解決問題的能力,能夠更好適應社會的變化與發展.對于學生數學核心素養的培養,需要在長期的數學教學過程中開展,慢慢積累,不斷促進核心素養的完善.
二、單元教學的優勢
1.有利于對知識進行串聯
單元教學將數學知識點分布于具體的問題當中,使學生能夠在對問題的解決過程中學習到大量的數學知識.這種教學方式能夠有效地將零散的、不連貫的數學知識點進行串聯,有助于培養學生的數學邏輯思維能力.
2.有利于幫助學生構建知識體系
單元教學在一定程度上擺脫了以教師為中心的高中數學課堂教學模式,使數學學習更加具有邏輯性,使數學知識更加層次分明,使學生的自主學習更加簡單方便,促進學生的自學能力的提升.單元教學模式的運用能夠更好地幫助學生構建知識體系,使學生對于數學知識擁有更加清楚的認識與理解.這對于幫助學生真正成為課堂的主人具有促進作用.
3.有利于培養學生的綜合分析能力以及數學思維能力
高中數學教育的最終目的并不是使學生掌握對某一道題目的解決辦法,而是要使學生學會分析問題和解決問題的能力.單元教學法在教學過程中能夠對學生的數學思維能力進行強化訓練,幫助學生完善知識體系,學會對數學知識進行有效的總結分析.具體的解題能力只是綜合分析能力的一部分,單元教學將提升學生的綜合分析能力作為最終的教學目標,這對于學生綜合能力的形成具有重要的促進作用.
三、單元教學設計中提升學生核心素養的途徑
1.在對教學內容本質的深刻把握中提升學生核心素養
在教學過程中,教師要首先明確教材中內容的本質是什么,只有這樣才能夠更好地幫助學生理解和掌握相應的知識.
例如,在進行高中數學“統計”這一章節的教學時,首先應當對該章節的內容進行劃分,可以分為三部分:第一部分是隨機抽樣,第二部分是系統抽樣,第三部分是變量間的相關關系.第一部分主要是讓學生熟悉系統抽樣、分層抽樣等簡單的抽樣調查的方法,使學生能夠運用這些方法在總體中按照要求抽取合適的樣本展開調查,培養學生運用抽樣調查的方法解決實際問題的能力.第二部分要使學生能夠熟練掌握對于數據的平均數和方差的運算,了解樣本估計的方法所適用的情景,有效促進學生對于內容本質的了解,進而達到提升學生核心素養的教學目標.第三部分主要是讓學生了解各變量之間的相關關系,使學生明白不同事物之間的相互關系,并且還需要使學生明白在實際生活中有許多事物是確定的,但有更多的影響事物發展的因素是不確定的.引導和幫助學生了解和掌握這種事物之間的相關性,有利于學生對于知識的學習.通過對“統計”這一章節的知識結構的劃分,能夠幫助學生了解和掌握內容的本質,進而提升學生的數學核心素養.
2.在開展課堂探究活動中提升學生核心素養
高中階段的教學安排往往是在高一、高二時就結束所有的新課教學內容,高三階段以復習課為主.高三復習課的教學方法也主要是對知識點進行講解,學生進行相應的練習.這種教學方式的效率并不高,仍然無法改變學生在學習中的被動地位.而通過探究式的教學能夠有效地提升學生的學習效率,促進學生的綜合素質的全面發展,提升學生的核心素養.

3.在課堂提問中提升學生核心素養
課堂提問能夠使學生學會運用學過的知識獨立地解決數學問題,提升學生學以致用的能力,促進學生核心素養的發展.例如,在學習“直線”的時候,教師可以向學生提問:如果想要確定一條直線,至少需要什么條件呢?通過在課堂上向學生提問這類問題,能夠提高學生的思考能力,使學生明白,如果已知一條直線上的兩點(x1,y1)和(x2,y2),或者已知一條直線上的一點(x,y)和這條直線的斜率就可以確定這條直線.
學生在對上述這類問題的思考中,能夠加深對問題本質的深刻理解,促進自身的思考能力的提高,最終達到提升學生核心素養的目的.
隨著素質教育的逐步推進,高中數學教學目標不應當僅僅停留在提升學生的應試能力方面,而是應當將關注點放到提升學生的核心素養上.只有努力提升學生的數學核心素養,提高學生解決實際問題的能力,才能夠真正地實現高中數學教學的價值.
高中數學論文范文 第11篇
題目:淺談抽象函數競賽題的求解策略
抽象函數由于其外在形式高度抽象與內在性質隱而不露的特征,因而能較好地考查學生的抽象思維能力、邏輯推理能力,從而成為數學競賽命題的熱點素材.求解此類問題需要將抽象化與具體化結合起來,以化解函數抽象性帶來的認知障礙.下面介紹求解的若干策略,供大家參考.
一、聚焦函數的基本性質
1.利用函數的單調性
例1(2013年全國高中數學聯賽遼寧省預賽題)設函數f(x)是(0,+∞)內的單調函數,且對任意x∈(0,+∞)都有f[f(x)-log2x]=6.若x0是方程f(x)-f′(x)=4的一個解,且x0∈(a-1,a)(a∈N*),則a的值為( )
(A)1 (B)2 (C)3 (D)4
解由f(x)單調性和f[f(x)-log2x]=6知,存在唯一的實數c,使得f(x)-log2x=c,此式中再令x=c,得f(c)-log2c=c,結合f(c)=6,得log2c=6-c, 故c=4.

評注利用f(x)的單調性得到f(x)-log2x=c(常數)是求解本題的一個切入點.
例2(2017年全國高中數學聯賽湖南省預賽題)設f(x) 是定義在(-∞,0)內的可導函數,其導函數為f′(x), 2f(x)+xf′(x)>x2, 則不等式(x+2 017)2f(x+2 017)-f(-1)>0 的解集為______.
解取函數F(x)=x2f(x),則F′ (x)=2xf(x)+x2f′(x)=x[2f(x)+xf′(x)](-1)2f(-1),即F(x+2 017)>F(-1), 于是x+2 017<-1, 得不等式的解集為(-∞,-2 018).
評注由條件不等式構造函數F(x)=x2f(x),再結合構造函數的結構形式,將所求不等式合適變形是求解的關鍵點.
2.運用函數的奇偶性
例3(2017年全國高中數學聯賽新疆維吾爾自治區預賽題)已知函數f(x)是R上的單調減奇函數,若m、n滿足

則5m-n的取值范圍是______.

于是5m-n=2(m+n)+3(m-n)≥7,即5m-n的取值范圍是[7,+∞).

3.挖掘函數的周期性

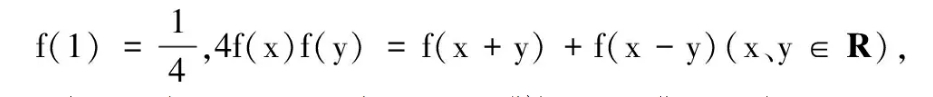
解取x=n,y=1, 得f(n)=f(n+1)+f(n-1);同理,有f(n+1)=f(n+2)+f(n),聯立得f(n+2)=-f(n-1), 故f(n+3)=-f(n), 得f(n+6)=-f(n+3)=f(n),所以函數f(x)以6為周期.從而有f(2 019)=f(336×6+3)=f(3).

評注要求f(2 019)的值,在f(x)的解析式不易獲得的前提下,通常利用函數f(x)的周期性解題.
二、妙用函數圖象的對稱性
例5(2018年全國高中數學聯賽甘肅省預賽試題)已知函數f(x)=x3+sinx(x∈R),函數g(x)滿足g(x)+g(2-x)=0(x∈R),若函數h(x)=f(x-1)-g(x)恰有2 019個零點,則所有這些零點之和為______.
解顯然f(x)為奇函數,其圖象關于原點對稱,從而f(x-1)的圖象關于點(1,0)對稱.又由g(x)+g(2-x)=0可知g(x)的圖象也關于點(1,0)對稱,于是函數h(x)=f(x-1)-g(x)的圖象也關于點(1,0)對稱,可得題設中的2019個零點關于點(1,0)對稱.
由h(1)=f(0)-g(1)=0,得x=1是函數h(x)的一個零點;其余2 018個零點首尾依次結合,兩兩關于點(1,0)對稱,從而這2 018個零點之和為2 018, 故所有這些零點之和為2 019.
評注由f(x-1)和g(x)圖象均是關于點(1,0)成中心對稱,得函數h(x)圖象是一個中心對稱圖形;又觀察易知h(x)有一個特殊零點x=1,看清了這一點,問題輕松獲解.
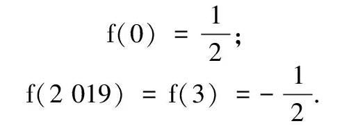
三、賦值法

解令x=y=0,易得f(0)=0.
令x=-1,y=1,得f(1)+f(-1)=6;又f(-1)f(1)≥9,故[6-f(1)]f(1)≥9,即[f(1)-3]2≤0,得f(1)=3.

例7(2015年全國高中數學聯賽甘肅省預賽試題)設f(x)是定義在整數集上的函數,滿足條件:①f(1)=1,f(2)=0;②f(x+y)=f(x)f(1-y)+f(1-x)f(y)對任意的x、y恒成立, 則f(2 015)=______.
解 令x=y=0,得f(0)=2f(0)f(1), 又f(1)=1, 則f(0)=0.再令y=1,得f(x+1)=f(1-x),得f(x)的圖象關于x=1對稱.
令y=-x,得f(0)=f(x)f(1+x)+f(1-x)f(-x), 即f(-x)=-f(x), 故f(x)為奇函數.結合f(x+1)=f(1-x),得f(x+1)=-f(x-1),即f(x+2)=-f(x),所以f(x+4)=f(x), 即f(x)以4為周期.
綜上,f(2 015)=f(3)=-f(3)=-1.
四、借用函數模型

評注本題的函數方程很容易使人聯想到指數函數模型,由于本題是填空題,用特殊法可使問題巧妙獲解.
五、采用遞推關系求解

評注在與整數、數列有關的問題或求值問題中,通過賦值得到遞推關系式常常能夠突破求解瓶頸.
總之,在求解抽象函數問題時,我們要善于觀察題目的結構特征充分利用題目提供的信息 抓住關鍵點,找準切入點,分析問題與條件的關系,就可以撥開迷霧.本文給出的幾種方法,僅僅是高中數學競賽中求解抽象函數問題的冰山一角,這里略作介紹,以求拋磚引玉.
高中數學論文范文 第12篇
題目:提高學生解題能力的教學方法探究
近年來,隨著社會的快速發展,國民整體素質的提高,人們越來越重視青少年的教育.高中數學的學習,對學生來說是一個重要的階段,既是對前面數學知識的鞏固,也是為大學的學習做鋪墊.高中數學相較于小學初中來說,更需要學生有較強的解決問題的能力,本文就提高高中生數學解題能力的教學進行探討.
一、養成良好的學習習慣
良好的學習習慣是高中生學好所有科目的基礎,高中數學與小學初中不同,它研究的問題更加深奧,因此,教師要注重同學們學習習慣的培養.學習習慣并非一日之功,需要學生日復一日,年復一年的堅持.具備良好的學習習慣之后,學生在數學學習方面會有更高更加持久地熱情,并且愿意主動積極地探索數學的奧秘.數學學習習慣的養成包括多方面的培養,例如制定學習計劃,對新內容進行預習,上課集中注意力聽講,課后及時復習并且按時完成相關的課后作業,遇到不懂的知識點及時咨詢老師,將學習的內容進行系統性的歸納等等,都可以提高高中生的數學解題能力.除了這些,拖延癥是絕大多數學生保持高效學習道路上的阻礙,造成無法及時完成作業.有的人因為玩手機不寫作業,有的人因為對數學不感興趣不寫作業,還有的是因為實在是能力有限而不能及時完成作業.但是,不管是什么原因,以上的任何一個情況,日積月累下來都只會使作業堆積得越來越多的,永遠都無法解決問題.因此,要想高效地完成數學任務,提高解題效率,首要的就是嚴格要求自己每天都完成相應的任務.
二、擁有良好的數學學習基礎
任何知識的學習絕非一日之功,任何學習成果的取得都不能一蹴而就,因此,要想提高高中生的數學解題效率,就要一步一步扎實地學習,打好基礎,才能在后面的學習中如魚得水.對于學習能力較差、基礎不是很扎實的同學,首要的就是學習課本的知識,將課本的知識理解消化透徹之后再去進行拓展.按照課本的章節設計,一步一步地學習,心急吃不了熱豆腐,如果在基礎不好的情況下還追求速度,只會取得適得其反的效果.記公式的時候不能死記硬背,首先按照課本的推導過程理解,結合書上給出的例題進行更深層次的掌握,然后合上書,依據自己的記憶以及思考再將公式的原理及推導過程列出來.這樣一來,學生對公式的掌握應用能夠更加熟練.例如:在學習集合關系與映射關系時,研究這一內容的主要目的就是要求學生掌握兩者之間的關系,從而根據集合的關系引導出函數的概念.從這一點來看,數學知識點之間是相互聯系的,通過簡單的知識點去引出重點和難點,這樣循序漸進的教學方法,有利于促進高中生數學基礎的奠定.
三、找到最優的解題方式
數學的教學目的就是培養學生的運算能力,思維發散能力,邏輯思考能力和三維空間想象力,以及將所學的知識運用到生活中幫助解決問題的能力.如果想通過解大量數學題來提升數學能力是非常困難的.目前,仍有許多教師在數學教學過程中采取題海戰術,這是非常不利于學生數學思維培養的.也就是說,學生只做題不看課本是不行的,但僅僅只看課本不做題更是不行的,因此,他們需要具備將理論知識與實踐結合的能力.高中數學題目往往都是一個題目對應多種解題方法的,因此,教師要引導學生在解題過程中先理清問題的思路,然后選擇最優的解題方法.
四、細心做題,耐心分析
通常來說,數學題目的設置難度不會過高,因此,高中生在解題過程中要細心,多多注意數字的正確應用以及計算過程是否出錯.另外,教師應該培養學生清晰的解題思維,同學們在讀完題目之后,在腦海中要形成明確的解題思路,并且按照規定的格式規范解題.每一種類型的題目都有其特殊的解題方法和解題格式,學生只有在平時注重這些細節問題,才不會在解題過程中犯錯.除此之外,教師還要引導學生養成檢查反思的習慣,完成解題后要進行認真的反復檢查,并且耐心地研究題目中還有沒有未被發掘的隱藏條件.這樣一來,學生在做一道題之后,就能夠舉一反三,相當于解決了一系列數學題.
高中數學問題量多面廣,從表面上看,它們都是相互獨立的個體,其解決過程和方法也不盡相同.但仔細分析探究就發現,它們的條件和結論并不是獨立的,存在一些必然的聯系.如果教師在教學中,能正確引導學生去尋找這些聯系,反思自己的解題過程,學會透過現象看本質,對提高他們解決問題的能力是十分有益的.
綜上所述,高中生具備高效的解題能力,對他們的數學學習有著非常重要的意義.教師在教學過程中,要注重學生知識基礎的奠定,解題思維的養成,為學生今后的學習、工作和生活中解決問題打下堅實的基礎.
高中數學論文范文 第13篇
題目:研讀新教材 體會新理念——一道零點區間問題的探討
2019年秋季學期起,海南省實施新課程.高中數學使用人民教育出版社、中學數學課程教材研究開發中心的《數學》(必修一)新教材.新教材習題配置增加了很多與實際相關的問題,注重了數學抽象與數學建模的培養;注重了邏輯推理、數據分析和數學運算等核心素養的提升;更加關注了學生數形結合思想、化歸與轉化思想及分類與整合思想的滲透.下面以《數學》(必修一)中一道零點區間問題為例來加以剖析說明.
一、題源
高中數學人教2019年新版《數學》(必修一),第156頁第13題:
題目有一道題“若函數f(x)=24ax2+4x-1在區間(-1,1)內恰有一個零點,求實數a的取值范圍.”某同學給出了如下解答:

上述解答正確嗎?若不正確,請說明理由,并給出正確的解答.
此題從考查學生邏輯推理能力與思維的嚴密性入手,題型新穎并給學生以探討空間.
二、解法研討
高中數學人教2019年新版教材相應教師教學用書第200頁上的解答為:
不正確.因為該同學只考慮了函數在區間(-1,1)內存在零點,而沒有考慮只有一個零點.正確解法如下.
函數f(x)=24ax2+4x-1在區間(-1,1)內恰有一個零點,即該函數圖象在(-1,1)內與軸只有一個公共點,包括函數為一次函數(a=0)和二次函數(a≠0)兩種情況.

2.當a≠0時,包括函數f(x)的圖象在x軸兩側和在x軸同側兩種情況:

此題把各種數學素養與能力整合考查得很好,但筆者認為教師用書答案有誤.下面我們用數形結合的思想方法來重新整合這道題.
教師用書第200頁答案考慮的a=0情形沒問題.


三、啟示
教學過程是一個特殊的認識過程,學生在教學過程中所學的知識,大都是前人已經發現和創造的知識和經驗,不是他們親自得來的知識和經驗,因此學生必須經歷一個“再發現”和“再創造”的過程.數學問題解決以后,要引導學生回頭來對自己的解題活動加以反思與探究,這是教學必要不可或缺的一個環節,也是提升學生分析和解決問題能力的最有意義的過程.它可以幫助學生從解題中總結出數學的基本思想和通性通法,并加以靈活運用,將它用到新的問題中去會成為以后分析和解決問題的工具.這是新教材編寫提高學生數學核心素養的宗旨,也是我們新教材使用者在教學中必須關注的理念.
高中數學論文范文 第14篇
豐富高中數學課堂,創新高中數學教學方法
摘要:隨著素質教育程度的不斷加深,改善了基本的教學方式,為實現教學課改提供了十分充足的動力。尤其是在高中階段的學科學習當中,更應該堅持創新的原則,來為學生化解學習壓力,讓學生面對緊張枯燥的學習生活能夠更加積極,高中知識與學科素養的充分融合,讓學生改善對高中數學學習的看法,最大程度地提升了教學的有效性,提升數學知識的研究效率,確保在符合學生學習的基礎上能夠實現最大程度的學科效率提升,保持高中課堂的教學內容的豐富性。但在豐富高中數學課堂的同時,需要不斷地創新教學方式方法,集中化解其中的問題,為學生提供豐富的學習空間。本文主要就豐富高中數學課堂創新教學方法的意義、保障課堂豐富性創新學習模式的有效策略進行分析。
關鍵詞:高中數學;課堂分析;創新方法;教學策略
在素質教育不斷落實的今天,教育領域更加注重高素質的人才,為了有效地促進數學素養的推進,在高中數學課堂當中創新教學方式,始終保持課堂的豐富性,轉變題海戰術的高中課堂,讓學生在緊張的沖刺階段擁有良好的心態,進而更加輕松地學習數學知識,才能全面實現提升數學學習效率的目標,秉承新時代背景下的教學目標,幫助學生能夠更積極地適應高中數學課堂的創新。高中階段數學知識學習難度非常之大,教師的教學水平和教學方式都在嚴重的影響著學生對知識的吸收,傳統的教學模式無法保持課堂的豐富性。在此基礎上更應該注重充分提升教學效率,滿足學生在素質教育下的基本需求,全面促進教學方法的創新。
一、高中數學學習課堂現狀
一些高中為了追趕課堂進度,在數學教學當中依舊采用傳統的教學模式,依舊采用教師講授學生進行聽講記筆記的學習模式。師生之間的互動只有在回答問題的時候。數學學習對邏輯性思維要求比較強,如果缺少創新內容課堂的學習氛圍就會非常沉悶,難以保障數學學習的整體效率,使學生的學習負擔過大。其次老師在進行講授的時候,講課的內容過于依賴教學課本缺少創新意識,長此以往學生缺少創新京山,在教學當中成績依舊是判斷學生好壞的籌碼,為了追趕課堂任務盲目地進行作業數學,學習質量不達標使學生缺少創新意識,降低了整體數學學習的成本。
二、豐富高中課堂、創新教學方式的有效策略
(一)全面激發興趣、高效研究數學知識
為了轉變傳統教學模式存在的弊端,教師需要在數學教學中不斷豐富課堂教學模式,從而激發學生的學習興趣,為學生研究數學知識提供有利的環境。教學研究的最終目標是為了不教,這也是教學課改背景下的基本學習目標。數學學習對于學生知識的探究和自主學習能力的滲透提供著重要的幫助,因此更應該促進學生綜合的能力發展。數學學習的學科針對性比較強,使學生邏輯能加嚴謹保持著更加豐富的學習態度。全面提升意志力提升對學生學習的熱情。因此老師對課堂的要求有待提升,實現高中數學課堂的豐富性,才能深入其中化解數學學習的奧秘。高中階段在數學學習上已經養成了習慣,想讓學生改正十分困難,因此老師注重教學方法的創新,滿足學生的興趣需求才能保障學生對高中數學的學習興趣,提升學生在數學學科中的意念,注重學習方法與學習興趣的融合。比如在學習集合內容的時候,在課前可以形成探究小組的學習模式,通過讓學生自由結組的學習模式,并小組共同配合共建一個屬于小組特色的幾何模型,并在下一節課的時候為同學進行講解,充分鼓勵學生對幾何內部的了解,在做題當中培育學生的空間思想,化解了數學學習的難度提升了學習興趣,使學生更高效率地完成了數學知識探究。
(二)轉換數學思維、加強師生之間的互動
通過轉化數學教學的思維,可以提高師生之間的互動,讓學生喜愛數學。課堂雖然學生是主體,但也需要老師的幫助,才能提升知識的聯系性,保障數學知識與課堂之間的聯系,學生才更愿意在知識學習當中發揮自我的優勢。學生的地位無可撼動更應該尊重老師在課堂中的存在。但在以往的數學課堂當中學生的地位無法被充分地發揮,嚴重阻礙學生的個性發展,影響整體學習效果。為了有效地改善這一問題,師生之間應構建平等和諧的學習關系,學生要傾聽老師的內心,老師也要尊重學生的個性。比如在隨機事件的相關內容學習當中,老師可以在課前對一個月內學生上課睡覺的現象制作成課件,并通過幻燈片的形式向同學展示。在學生的普遍認知里上課睡覺是大忌,老師會非常憤怒甚至會責罰學生,但當老師大大方方地將課堂睡覺當做教學案例,學生就會指導老師并不在意這件事情,反而是老師正在關心學生,改變了對老師以往的態度在日后的課堂學習當中會更加投入,不僅構建了良好的師生關系,也提升了學生的聽課效率,間接了反映出老師了解高中生活的緊張,側面關心學生的狀況,有助于緩和師生關系,學生也會更愿意投入到數學學科的研究當中。
結束語:
在教學課改的基礎之上,學生的學習興趣培養十分重要。高中數學學習本身對學生的能力而言就是一種考驗,而學生在考驗當中占據不利的地位,為了更積極地調動學生的學習興趣,老師也需要參與其中共同與學生化解其中的苦難。因此在數學教學當中應注重教學方式的創新,保障高中數學課堂的豐富性,全面提升學生對復雜知識刻苦研究的欲望,真正地做到高效學習課堂的體現,進一步實現學生的學習素養和學習目標,構建良好的學習空間。
參考文獻:
[1]王岳玲.高中數學課堂教學中創新學習模式的應用方法探究[J].考試周刊,2021(88):67-69.
[2]陳志恩.豐富高中數學課堂,創新高中數學教學方法[J].黑河教育,2021(06):32-33.
[3]劉香芹.淺議高中數學和諧課堂教學的創新方法[J].天天愛科學(教育前沿),2021(05):185-186.
高中數學論文范文 第15篇
題目:豐富高中數學課堂,創新高中數學教學方法
[摘 要]在課程改革不斷深化的今天,教學方法的創新備受關注。為了實現教學資源的優化配置并有效利用,讓學生在自由、寬松的學習氛圍下實現個性化發展,教師以學科教學重難點的提煉為依據,將創造性的教學策略與學生的自主實踐活動融為一體,在引導和鼓勵學生的過程之中培養學生自主學習的行為習慣。其中教學方法的創新對教師提出了一定的要求,教師需要將豐富化、多元化的教學內容落到實處,關注與學生在情感上的交流以及互動,給予學生更多力所能及的幫助及肯定,保障學生掌握適合自己的學習策略。本文以高中數學為分析對象,進一步了解如何豐富高中數學課堂、創新教學方法提供的具體內容及形式。
[關鍵詞]高中數學課堂;創新教學方法
目前,高中數學教學仍然以傳統的教學模式為依據,教師采取簡單講授的形式完成教學任務,學生只能夠被動傾聽,缺乏自主學習的意愿,整個課堂教學效率與教學目標存在一定的差距。與其他學科相比,數學學習難度偏大,數學知識的抽象性比較明顯,對學生的邏輯思維能力是一個較大的挑戰。
一、高中數學課堂教學情況
傳統的數學教學方式是單一的,學生在學習的過程中常常會覺得枯燥、無趣,而且數學知識不好理解,有些學生認為數學知識的學習很難,就會漸漸地失去學習數學的興趣,有些學生遇到困難就會逃避,對于數學知識的學習呈放棄的態度,從而導致教學效率的下降。教師是教學的引導者,應根據不同的教學內容,采用多樣化的教學方式吸引學生的注意力,激發學生學習數學的興趣,感受學習數學的快樂,營造良好的課堂氛圍,使高中數學課堂高效完成。對此,在新課程改革的過程之中,高中數學教師要重新調整教學方向,堅持以人為本的教學理念,著眼于教育教學環節的踐行要求。在滲透教學思想以及教學理念的前提下實現教學方法的有效創新,保證學生都能夠獲得更多的知識。
二、創新高中數學教學方法
高中數學教學策略及手段的創新是一個長期的過程,所涉及的內容和形式相對比較復雜,教師在教學改革的過程中要改善現有的教學策略及教學手段,促進教學活動的順利開展。高中數學教學改革是一個漫長的過程,所涉及的內容及形式比較復雜,教師需要了解各類細節要素,明確高中數學教學改革的新內容、新方向和新要求,在引導和鼓勵學生的過程中實現教學資源的合理配置并有效利用,讓學生能夠掌握適合自己的數學學習策略及方法,提升個人的數學思維能力和水平。隨著新課改的逐漸深入,教師也在改變教學理念與教學方式,致力于完成教學目標,讓學生能夠更加深入地理解與掌握數學知識,培養學生的自主學習與探究能力,使他們感受到學習數學的樂趣,進而提高數學成績。 因此,教師應對學生進行深入的了解,對于學生的數學學習情況以及學生的興趣、愛好有一定的認識,并以此為依據選擇適合的教學方式,不斷地改進與創新教學方法,提高教學質量和教學效率。
1.激發學生自主探索的興趣
學生的學習積極性和學習興趣會直接影響個人的學習行為,為了體現學生的主體價值,教師要以引導學生自主探索為依據,運用寓教于樂的教學策略,明確新課程改革的期望效果,激發學生學習能動性,讓學生能夠在教師的引導下實現個人的發展。數學的學科風格較為明顯,數學知識存在極為嚴密的邏輯聯系,為了盡量避免課堂教學的枯燥性以及乏味性,教師需要站在宏觀的角度著眼于整個學習過程,在調動學生學習熱情的同時培養學生良好的意志力以及學習興趣。作為課堂教學中的主導者以及組織者,教師的教學能力及對學生的科學引導非常關鍵,教師要了解學生感興趣的內容,給學生更多自主探究及學習的機會。只有使學生擁有持續不斷的探索興趣和欲望,才能夠堅持不懈地完成教師所布置的學習任務,主動調動個人的學習方向,培養頑強的學習意志。在自主學習和實踐研究時利用所學習的數學知識解決實際問題,提高個人舉一反三和學以致用的能力。同時,以學生為中心的課堂教學實踐形式既能體現教學的實踐性要求,又能讓學生對所學習的知識有一個深刻的記憶和理解。
2.構建師生互動關系
傳統的師生關系以教師為中心,教師結合教學大綱的相關內容,通過重難點的提煉來引導學生,實現知識的單向灌輸,學生在這樣的教學背景下非常被動和消極。為了避免這一問題,創新高中數學教學策略,實現數學課堂的豐富化發展,教師需要以學生的個性為依據,注重營造課堂氛圍,應轉變傳統的教學模式,讓學生能夠積極主動地展開學習,從而對數學產生濃厚的興趣,這樣才能夠變被動接受為主動學習。教師應與學生做朋友,深入實際了解學生的真實發展需求,給予學生針對性的輔導,幫助解決學生的后顧之憂。讓學生主動信任教師并尋求教師的幫助,只有這樣才能夠體現課程改革的核心要求,推動高中數學教學實踐活動的順利開展。例如,教師在高中數學課堂中可以利用問題式教學法,通過提出問題引導學生的思考,讓學生回答。這樣做,既能鍛煉學生的動腦能力,又能引導學生投入到數學課堂當中。教師也要參與其中,不單要做教學的引導者,還要做教學的參與者,與學生一起融入到數學課堂當中。當學生遇到問題時教師應及時予以解答,學生也可以積極向教師詢問。這樣,能更好地展開數學知識的教學與學習,教師和學生之間的溝通和交流也變多了,教師對學生會有更加深入的了解,而學生也會對教師的教學有新的認識,這也是教師進行高中數學教學改革與創新的條件,構建高中數學高效課堂。
3.開展多樣課堂教學
高中生的自學能力以及自控能力已有了一定的提升,但如果課堂教學氛圍枯燥,也難以調動學生的積極性,學生的注意力也較差,無法在教師的引導之下實現自主學習。對此,教師要用豐富多元的教學內容,吸引學生的注意力,充分體現課堂教學的精華所在。其中前期的備課尤為關鍵,傳統的灌輸式教學法比較枯燥,教學效率也無法有效提升,而隨著新課程改革的不斷深入,傳統教學方式的不足也更加突出。當今的學生思維也在跟著時代發展的潮流有所創新,因此,教學方式的改革與創新勢在必行,只有不斷地改革與創新才能夠更好的吸引學生的注意力,讓學生感受到數學學習的樂趣,認識到學習數學并不是很難,通過教師的引導會對數學有更加正確的認識。同時,教師可以采用的教學方式也是多元化的,可以利用的教學工具也是比較多的。例如,教師可以積極利用現代多媒體技術調整教學思路和教學方向,關注學生在自主學習過程中的真實情況,讓學生感受到教師對自身的鼓勵和認同。其中,學生的自主參與最為關鍵,教師需要注重重難點的提煉,明確前期預習、課堂教學以及后期鞏固三大教學環節之間的邏輯聯系,注重課件制作的生動性和趣味性,全方位地調動學生的感官。在吸引學生注意力的同時讓學生產生更多主動學習的意愿。需要注意的是,學生的個性化發展要求對數學學習的理解及認知有所區別,為了體現學生的個性,釋放學生的天性,教師需要以循序漸進的教學策略為依據,堅持以人為本的教育教學理念,對不同層次的學生進行針對性的引導,只有這樣才能夠使學生在自主學習和實踐研究的過程中實現自我教育和自我調整,對數學這門學科有一個全新的認知及理解。
作為高中教育教學階段之中的重點學科,數學的學習難度偏大。高中數學教師在教學過程中不僅要傳授知識,還要培養學生的綜合素養,掌握學生的整體學習情況。選擇適合的教學方式,調整教學思路,改進目前的教育教學策略,以提高教學質量、創設高效課堂為依據,在調動學生參與積極性的同時,讓學生獲得更多的收獲及成長。此外,高中數學教師還要不斷地提升自身的綜合素養,了解當前的教育形勢,跟上時代發展的潮流,更新教學方式,創新高中數學課堂。
參考文獻:
[1]姜琳.創新課堂教學方法.實踐高中數學教學[J].新課程(中學),2015,(12).
[2]劉艷秋.高中數學課堂教學中學生創新能力的培養[J].現代中小學教育,2005,(11).
[3]劉標.創新課堂教學方法,實踐高中數學教學[J].數學學習與研,2016,(13).
本站論文范文來源網絡,若內容不實或侵害了您的合法權益,請及時聯系我們進行刪除!原文鏈接: » 高中數學論文范文(精選15篇)











